现在就更
作者旁白拉线
💩💩💩💩💩💩💩💩💩💩💩
作者给我整个正常点的线
对不起,对不起

作者我这么快就开始给你们更文开心吗?
作者可惜这是发福利←_←
作者今天依然是发图

作者🙂🙂🙂🙂
快跑
旁黑:由于旁白被作者抓住杀了
旁黑:所以现在有旁黑来发
旁黑:
旁黑:
旁黑:
旁黑:
旁黑:
作者对了,大家可以猜猜下一章过来的异想体是谁哈?
作者给你们发张图,请猜
作者
作者下一章公布给你们哈😘
作者我给个提示
作者ta是三枪手之一
(本章完)
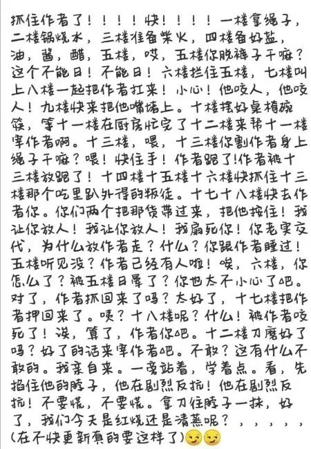
作者旁白拉线
💩💩💩💩💩💩💩💩💩💩💩
作者给我整个正常点的线
对不起,对不起

作者我这么快就开始给你们更文开心吗?
作者可惜这是发福利←_←
作者今天依然是发图

作者🙂🙂🙂🙂
快跑
旁黑:由于旁白被作者抓住杀了
旁黑:所以现在有旁黑来发
旁黑:
旁黑:
旁黑:
旁黑:
旁黑:
作者对了,大家可以猜猜下一章过来的异想体是谁哈?
作者给你们发张图,请猜
作者
作者下一章公布给你们哈😘
作者我给个提示
作者ta是三枪手之一