六.讲题
王慧:闺女回来啦!
王慧师娘喊了一声,把刚打开走进来的门又关上了
王慧:我这刚买菜回来,都饿了吧!我马上做饭切
郭念安:妈!
郭念安看到自己的“妈妈”回来了立马喊了一声
王慧:唉!念念作业写完啦
郭念安:嗯,写完了
梁旭就这么看着这对“母女”的对话
郭德纲:呃......闺女啊,跟我去楼上书房说吧
梁旭......嗯
郭德纲和梁旭来到了书房
郭德纲:坐吧
梁旭也不客气直接坐在了椅子上
然后静静地看着郭德纲
郭德纲:唉~有什么想问的就问吧
梁旭那是谁?
郭德纲:念安吗?
郭德纲:她是我收养的闺女
梁旭挑挑眉
郭德纲:还有想问的吗?
梁旭没了
梁旭最后告诉你那个养女,说话的时候过一遍脑子,祸从口出,我可不是什么好人
梁旭如果哪天我急眼了我可指不定会对你那宝贝养女做些什么
梁旭最后再次提醒你一下,我可不是什么好人,你真的要认回来么
梁旭的眼神犀利,直直的看着郭德纲
郭德纲也看着她面带微笑
过了好一会,郭德纲才再次开口
郭德纲:不会的,没关系,我们会接受你的
梁旭反正我已经提醒过你了,到时候可就别反悔了......
郭德纲:嗯,走吧下去看看
梁旭嗯
楼下
郭念安:爸爸,你和姐姐谈完了吗?
郭德纲笑着说道
郭德纲:谈完了
郭德纲:念念你的作业写完了吗?
郭念安眼珠一转
郭念安:写完了,妈妈一进来就问了我也说了,爸爸你是不是没有听我说话呀!
郭念安:不过我有一些题不会,姐姐能不能教教我啊
郭德纲:这......
郭德纲有些为难
毕竟梁旭的资料上并没有学历,不是查不出来而是她没有上过学
而在郭德纲身后的梁旭没有什么表情
郭德纲转过头来看着梁旭
梁旭把题拿来吧
郭念安:好!
郭念安高兴坏了,以为她只不过是在硬撑面子,兴高采烈的去房间里拿卷子
确实,她确实有“些”不会的题
郭念安:就是这些
梁旭没了吗?
郭念安:没了
两人在客厅的中央“搏斗”
引得其他人都想去凑凑热闹
六人围观着两人
梁旭(1)设甲“第一关闯关成功且所得学豆为零”为事件,“第一关闯关成功第二关闯关失败”为事件,“前两关闯关成功第三关闯关失败”为事件,则互斥
梁旭
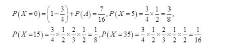
梁旭X所有可能的取值为0,5,15,35
梁旭
梁旭所以X的分布为
梁旭
梁旭EX=零乘以十六分之四+五乘以八分之之三+十五乘以八分之一+三十五乘以十六分之一=十六分之九十五
梁旭懂了吗?
郭念安:懂,懂了
懂了个屁啊!
根本没听懂
这脑子跟不上啊!
梁旭那你来给我讲一遍
梁旭做题的意义就是把题弄明白,如果你也能把这题讲明白也就不会再被这种类型的题所困
郭念安:呃...设甲闯关...
叮咚——叮咚——
门铃响了
郭念安:我去开门!
郭念安急急忙忙的跑去开门
咔哒——
门开了
门外的人是……
卡文./





