16.证明一个从未有过的理念
“这果然是一个从未有过的理念……但是你可以试着证明一下吗?”诸葛亮认真的问道。
而狄千颂也同样认真的点了点头说,“好……诸葛先生,请问,您这里的黑板可以用吗?”
“可以……”诸葛亮点了点头说。
狄千颂点了点头后,便拿起了桌子上放着的笔,然后在一旁的白板上写了一个假设……
‘假设:式中m1和m2为两个行星的质量;ma为太阳的质量’。
写完之后,她便很耐心对诸葛亮讲解着,“第一个,椭圆定律,也就是所有行星绕太阳的轨道都是椭圆,太阳在椭圆的一个焦点上。第二个,面积定律,也就是,行星和太阳的连线在相等的时间间隔内扫过的面积相等。第三个,也是最重要的……调和定律……所有行星绕太阳一周的恒星时间……”
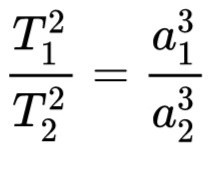
而后,她在黑板上又写下了两个字母组合,这两个字母组合分别是,(Ti)和(ai)。
接着,她又说,“所有行星绕太阳一周的恒星时间(Ti)的平方与它们轨道半长轴(ai)的立方成比例。也就是……”
说着,她又在黑板上写下了。

而后,她又若有所思的说,“所有行星和彗星的轨道都属于圆锥曲线,而太阳则在它们的一个焦点上。第二定律只在行星质量比太阳质量小得多的情况下才是精确的。如果考虑到行星也吸引太阳,这便是一个二体问题。也就是……”
说着,她又在黑板上写下……

在写完这些之后,她补充似的对诸葛亮说,“用上我刚才所说的假设,同理证明……”
而此刻,狄仁杰很是惊奇的问,“秋儿,这些……你是从什么时候知道的呀?”
“哥哥,请叫我千颂……秋儿这名字太难听了!”狄千颂皱着眉头纠正道。
而后,狄仁杰笑着对狄千颂说,“好好好,千颂……”
而此刻,诸葛亮看狄千颂的眼神倒是复杂了许多……或许是从来没见过这样的狄千颂吧……不过也能理解……曾经的狄千颂连做人都成问题更别说能在学术上有什么造诣了……而这时,诸葛亮微笑着对狄千颂说,“稷下欢迎你……”
“谢谢……”狄千颂笑着对诸葛亮说道。
而此刻,狄仁杰像是松了口气似的对狄千颂说,“好吧,那你在这里好好学习,哥哥就先回去了……”
“好的……那哥哥我去送送你……”说着,狄千颂放下了手中的粉笔,而后,她又很客气的对诸葛亮说,“诸葛先生……我去送送哥哥……”
“好的,去吧……”诸葛亮对狄千颂笑了笑。
狄千颂和狄仁杰走了之后,只见庄周不知道从哪里走了出来……他若有所思的问诸葛亮,“她说的这些可用吗?”
而诸葛亮看了一眼庄周后,便微笑着对庄周说,“有些想法,总要有人提出来,或者去才想呀……”
“那倒也是……”庄周若有所思的回答道。

作者-猫萌子:第十五章和第十六章的内容稍微有些无聊,正文内容在第十七章的时候继续。





