高压输电
一、高压输电
高压输电是通过发电厂用变压器将发电机输出的电压升高后传输的一种方式。

二、高压输电的优势
高压输电能减少电能的损耗,进而提高输电效率。

三、减小热损失的方法
由焦耳定律Q=I²Rt可知,减小发热Q有以下三种方法:一是减小输电时间t,二是减小输电线电阻R,三是减小输电电流I。

四、高压输电的原理
上述可知,前两种减少热损失的方法是不现实的,只有第三种办法才是有效的。根据焦耳定律Q=I²Rt,可知输电线上的功率损耗正比于电流的平方,所以在远距离输电时就要利用大型电力变压器升高电压以减小电流,使导线发热减少,方能有效地减少电能在输电线路上的损失。

由于发电厂发出的电功率是一定的,它决定于发电机组的发电能力。根据P=UI,发电机的功率不变,若提高输电线路中的电压U那么线路中电流I一定会减小,输电线损失的热量Q=I²Rt一定会相应减小。假如线路中电流降低到原来的1/2那么线路中损失的热量就减少为原损耗的1/4,因此,提高电压可以很有效的降低线路中的热损失。
五、高压输电的练习题
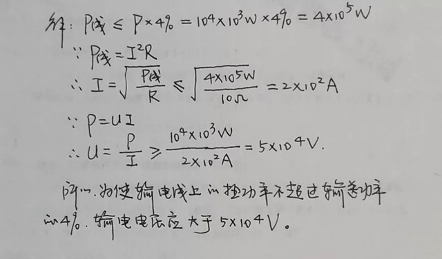
远距离输电时,若输电线的电阻为10Ω,输电的功率为104KW,为了使输电线上的热功率不超过输电功率的4%,输电电压应该为多少?

(本章完)





