同创文学网
首页
书库
排行
全本
专题
轨迹
选择主题
古风
极简
海洋
森林
日落
薰衣草
樱花
水墨
萌系
暗黑
墨夜
咖啡
赛博
书架
同创文学网
首页
书库
排行
全本
专题
轨迹
我的书架
主题风格
古风
极简
海洋
森林
日落
薰衣草
樱花
水墨
萌系
暗黑
墨夜
咖啡
赛博
灵异
杂谈异录
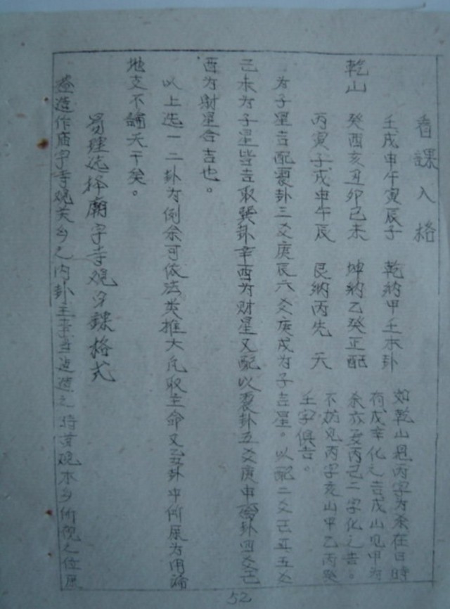
杂篇——手抄本连山易归藏易
52 字
·
中
背景主题
🔄
跟随
默认
护眼
淡绿
淡蓝
粉色
夜间
字号大小
超小
小
中
大
超大
杂篇——手抄本连山易归藏易
作者找到一个手抄本的玄妙书籍,如有不喜,看其他章节哦。
林月礼:我认为比较宝藏,适合有这方面爱好的人钻研。
(本章完)
上一章
目录
下一章
相关推荐
连载中
风铃—fengling
云团雅
灵异
10.7万字
连载中
薇危
妆面鬼
灵异
48.4万字
连载中
SCP天启计划
塔纳托
灵异
2.3万字
连载中
不死瞳
doto*
灵异
1.5万字
连载中
通灵店铺
北冥有朵海棠花
灵异
5574字
连载中
混世纪传说
道士姐姐
灵异
1.6万字