二百四十一章学习太晚被老师被抓包
文染建鹏要是作业有时候不会的,可以找我哦,毕竟我们现在还在教室,若是明天再补的话,那可不太好,所以说趁现在今晚的作业有什么不会的可以找我,也可以找思思,舒言,茜茜姐,诺诺姐和轩轩哥哥
建鹏:那真是太好了,我正好有几道题不会,你帮我讲讲呗
文染让我看看啊,这道题很简单
建鹏:帮我讲讲呗
文染好吧,我给你讲
在村村通公路建设中,某乡镇决定对⼀段公路进⾏改造.已知这项⼯程由甲⼯程队单独做需要40天完成;如果由⼄⼯程队先单独做10天,那么剩下的⼯程还需要两队合做20天才能完成.
1)求⼄⼯程队单独完成这项⼯程所需的天数.
(2)求两队合做完成这项⼯程所需的天数.
文染很简单呀,我给你说一下,不知道你能不能听懂
建鹏:说吧
文染第一问:设乙I程队单独完成这项I程需要x天.根据题意,得 .解得x=60.经检验,x=60是原方程的根.所以乙工程队单独完成这项工程所需的天数为60天
建鹏:哦,原来是这样啊,那第二问呢
文染先假设两队合做完成这项工程需要x天.根据题意,得 .解得y=24.所以两个人合做完成这项工程所需的天数为24天
建鹏:好简单啊,原来是这样
文染你很聪明,只是没有把重心放在学习上而已,你是一点就通,一起加油吧,我们一起考一个好的高中,我们要做永远永远的好朋友,无论任何人来都无法撬动我们的友谊,无论我们做什么事情,我希望我们都能相信彼此,而不是受别人挑拨,或者陷害,我们就离了心
建鹏:我知道
文茜:我知道我会相信陪我那么久的朋友,而不会相信一个没来几天的人
舒言:对,我们和彼此相处了那么久,绝不可能因为别人的挑拨离间而选择不相信他,因为我们是认识很久的朋友,我们都会了解彼此是这样的人,绝不可能受他人挑拨
陈思思:我们从小学就开始认识,我们是朋友,自然了解他是怎样的为人,再说了他的朋友如此多,他怎么会陷害你呢,他很不屑
封银沙:我们认识多久,你又和我们认识多久,你比得上我们那么久的友谊吗,哪怕你捅千刀万刀,想离间我们怎么可能呢,毕竟我们那么久,那么久的友谊,怎么可能说没就没了呢
莫纱-莫清:纱纱和他们认识那么久,早已经了解他们是什么样的人,就凭你这点手段也知道他们是什么样的性格,若是他们真的想伤害你,你早已经死了很多回了,再说他跟你第一次见面怎么可能会呢
高泰明:小爷无条件相信自己的朋友
文染好了好了,还有什么不会的都可以问我,你们还有什么不会的吗
封银沙:没有啊,这些你都很简单
文染我给你检查一下
封银沙:好
文染有几道题错了,你来看看这道题
封银沙:我看看啊

文染错了
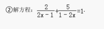
文染②方程两边都乘以2x- 1得出2-5=2x- 1,求出方程的解,再进行检验即可.解答:①解: 原式=-1-√2+1-√2 =- 2√2; ②解:方程两边都乘以2x- 1得: 2- 5=2x- 1, 解这个方程得: 2x=-2, x=- 1, 检验:把x=- 1代入2x- 1≠0, 即x=- 1是原方程的解.
文染你能跟我说说这得什么时候等于-3了
封银沙:还真是我做错了
文染真是粗心大意
文染不过目前还不错,只错了这一道
封银沙:嘿嘿
文染你那两道题考查的是了解分式方程,零指数幂,绝对值,特殊角的三角函数值等知识点的应用,①小题是- -道比较容易出错的题目,不过呢,只要够仔细也不会出错,②小题的关键是把分式方程转化成整式方程,同时要注意:解分式方程- -定要进行检验,这第二小题呢你也得继续做,不然啊会扣分的
封银沙:我知道了,你没说我还没注意呢
文染我在继续检查检查
建鹏:那我们要算不算作弊呢
文染算个屁,我不过就是辅导辅导你们而已,我也不可能把所有答案告诉你们,只是告诉你们容易出错的地方,这是哪门子的作弊,不会说话就毕竟你的嘴
班主任批完文染他们班的作文出来,特别的生气,因为有几个人的作文写得特别糟字还丑,根本看不懂你们写了什么,不过看见自家班还亮的灯特别疑惑,难不成他们还没走吗,就推开门进去看了,眼前的一幕令他的怒气稍微下来了点,看到了班长在辅导他们做作业,不会的还教他们,有的他们写完了还让班长给他检查,真的是特别努力
文染怎么凉嗖嗖的啊,是谁没有关窗户吗
文茜:怎么了,妹妹你冷吗
文染不是啊,我就感觉一阵凉风袭来
文染他们一同扭过身看去,看见班主任正站在班级门口,一脸的疑惑
文染老师不是走了吗,不不不,老师赶紧进来,外面有点冷
班主任:你们怎么还不回家呀,这里有门禁的哟,嗯,还有20分钟就要关门了,你们赶紧回家去吧
文染老师你没有回家吗
班主任:我刚给你们批完作文,对了,班长
文染怎么了老师
班主任:没什么事啊,只是有些人的作文太过糟糕,字还写的很烂,这么晚了,老师送你们回家吧
文染不用不用,我们自己可以回家的,我们都这么大了
班主任:还是算了,你们这几个小孩子路上不安全,你们学习也不能忘记时间啊
文染嘿嘿,下次我们知道了,我们会早一点的
班主任:不过你们这么爱学习,老师很欣慰,对了,你们的父母不担心吗,这么晚回家
文茜:我们一直都是这样啊,之前我们都是在之前完成作业的,那时候老师就已经走了啊,我们就是打算学一会儿就回去的,就是忘记了时间,没想到却被老师发现了
文染好啦老师,我们都有父母接送,你就先回去吧,路上注意安全
班主任:好吧,你们这么多,一路上也有个照应
文染老师拜拜
建鹏:拜拜老师
班主任:建鹏你体育很好,但是学习也要抓紧
建鹏:知道了老师
所有人:叶罗丽战士(除王默):老师拜拜,注意安全
建鹏:时间过得太快了,我有好多题不会呢
文染小银沙你给管家打电话,让他来接你,我和姐姐送思思娜娜,建鹏,你送舒言回家,毕竟现在真的不早了,而且建鹏还有几道题不会,我在车上和思思顺便教他,若是你又不会的题,你可以问舒言,她是学习委员
灵诺:那我们呢
文染你们有车呀
文茜:不如这样吧,我们家的空房间多,时间这么晚了,你们回去也不太安全,你们几个去我们家睡觉吧,你跟你们父母说一声,正好我们也可以教他们
建鹏:我只要给爸妈打个电话就行,毕竟我一般都是散养状态
文茜:那你们呢
封银沙:我也只要跟管家说一声就行,毕竟那个房子是染染的
齐娜:我不放心奶奶,我还是回去吧
文茜:你打电话问问吧,说不定你奶奶现在已经睡着了,再说了,这都多晚了,我估计你奶奶同意你来我们家睡
齐娜:好我打一个
陈思思:我问问吧
舒言:对呀
水王子:那就一起,反正在哪都一样
冰公主:对啊
莫纱-莫清:纱纱恐怕不行哦,我母亲不会同意
文茜:我恐怕你回去之后,你母亲又该唠叨说什么不能有黑眼圈呀,你可是公众人物啊
莫纱-莫清:纱纱决定了,今晚不回家,纱纱才不愿意听唠叨呢,但是打电话肯定还是打的
文茜:但是我就怕你母亲飞奔过来把你带走
莫纱-莫清:哈哈哈,我累了那么久,该放松了吧,要是他不想让纱纱罢演的话,反正母亲这个人很在乎财的,他不会这么做的,毕竟逼急了纱纱,真的永远不演戏这才是他怕的,他根本就不在乎我
文染是的呢,冰冰明天给你买冰激凌,毕竟你属于冰,不喜欢热的东西
灵诺:我们打个电话说一声就行,毕竟父母很乐意的哟






